-
Read More
상자 사진기 Boxcope 제작 및 활용
상자 사진기 Boxcope 제작 및 활용 천체망원경의 원리, 사진기의 원리, 렌즈의 광학적 특성, 눈의 원리 등을 설명하는 데 사용할 수 있는 도구를 만들어 보았습니다. 박스코프는 옛날에 사진관에서 쓰던 사진기와 동일합니다. 사진사 아저씨는 렌즈로 빛을 모으고, 간유리에 상을 맺은 후, 간유리를 꺼내고 사진건판을 집어넣어서 촬영을 했었는데, 그것을 간이용으로 만들었다고 생각하면 됩니다. 이와 동일한 장치가 천체사진 촬영에도 사용되었습니다. 이와 비슷한 몇 가지 장치와의 차이점을 간략히 비교해보겠습니다. * 상자사진기 : ... -
Read More
Boxcope, 상자 사진기
Boxcope, 상자 사진기 #바늘구멍사진기, #상자사진기 천체망원경의 원리, 사진기의 원리, 렌즈의 광학적 특성, 눈의 원리 등을 설명하는 데 사용할 수 있는 도구를 만들어 보았습니다. 박스코프는 옛날에 사진관에서 쓰던 사진기와 동일합니다. 사진사 아저씨는 렌즈로 빛을 모으고, 간유리에 상을 맺은 후, 간유리를 꺼내고 사진건판을 집어넣어서 촬영을 했었는데, 그것을 간이용으로 만들었다고 생각하면 됩니다. 이와 동일한 장치가 천체사진 촬영에도 사용되었습니다. 이와 비슷한 몇 가지 장치와의 차이점을 간략히 비교해보겠습니다... -
Read MoreNo Image
회합주기
[ 난이도 : 6-7 단계 ] 코페르니쿠스는 태양중심적인 우주관을 바탕으로 행성의 회합 주기와 항성 주기 사이의 관계를 다음과 같이 설명하였습니다. 먼저 외행성의 회합 주기를 알아보겠습니다. 지구와 외행성의 공전 주기를 각각 E와 P라고 하면, 이들의 공전 각속도는 각각 360/E와 360/P가 됩니다. 여기서 공전 주기는 항성일(항성을 기준으로 한 지구의 하루) 단위이며, 공전각속도의 단위는 도/항성일입니다. 회합 주기는 S로 표현하겠습니다. 외행성이 360/P의 공전 각속도로 S 기간에 걸쳐 공전하는 동안, 지구는 360/E의 공전각속... -
Read More
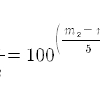
겉보기 등급과 절대 등급, 거리 지수
주요어: 거리지수, 거리 지수, 겉보기 등급, 절대 등급 이 글을 읽기 전에 등급의 정의와 관계식을 먼저 읽어보시기를 권합니다. 이 글과 연속적으로 구성되어 있습니다. 등급을 m, 플럭스 밀도를 F로 나타내고, 별 1과 2를 각각 첨자 1과 2로 표현한다면, 두 별 사이의 등급 차이는 다음과 같이 플럭스 밀도의 로그함수로 표현할 수 있습니다. .......... (1-1) 또는 .......... (1-2) 이것은 두 별의 등급 차이에 대해서 뿐 아니라, 어떤 두 등급에 대해서도 적용될 수 있습니다. 한 별이 우리에게 m 등급으로 보인다고 하겠습니다. 우리... -
Read More
등급의 정의와 관계식
사람의 눈은 외부에서 주어지는 빛의 자극에 대하여 로그함수적으로 반응합니다. 예를 들어 세 천체 A, B, C의 플럭스 밀도의 비가 1:10:100이라고 할 때, B는 C보다 10배 더 밝고, A도 B보다 10배 더 밝습니다. 하지만, 우리의 눈은 B와 C의 밝기 차이와 A와 B의 밝기 차이가 같다고 인식합니다. 다시 말해, 자연계에서는 배수로 표현되는 것이 우리 눈으로는 차이로 인식되는 것입니다. 배수를 차이로 변환해주는 함수는 로그함수입니다. 기원전 2세기 경 히파르코스(Hipparchos)는 별들의 밝기를 눈에 보이는 그대로 순서를 매겨서 6 등... -
Read More
마그마와 용암의 차이
암석에 가해진 압력과 온도 조건에 따라 암석이 녹을 수 있습니다. 고체 물질이 녹는 것을 용융이라고 합니다. 지표에서는 암석을 녹일 수 있는 압력과 온도 조건이 나타나지 않습니다. 지하에서는 가능합니다. 그래서 암석이 녹은 것은 지하에 저장되어 있습니다. 암석이 녹은 것을 암석의 용융체라고 하겠습니다. 암석의 용융체가 지하에 저장되어 있는 공간을 마그마 방(magma chamber)이라고 합니다. 고체 상태인 암석이 녹아서 용융체가 되면 부피가 팽창하여 밀도가 작아집니다. 그 뿐 아니라, 지하의 한정된 공간에서 부피가 팽창하... -
Read More
복사평형의 원리
복사 평형의 원리 1. 복사평형 복사 평형이란, 물체가 복사를 통하여 흡수하는 에너지와 방출하는 에너지의 양이 같아서 온도가 일정하게 유지되는 상태를 말합니다. 다시 말해, 흡수한 복사 에너지량 = 방출한 복사 에너지량 인 상태를 말합니다. 복사 평형 온도는 복사 평형 상태의 온도입니다. 아래 그림 ㈎와 같이 표면을 검게 칠한 구리통에 물을 가득 넣고, 햇빛이 비치는 곳에서 막대의 그림자가 생기지 않도록 조절하면서 충분히 오랜 시간 동안 두었을 때, 이 구리통이 흡수하는 에너지량과 방출하는 에너지량의 시간에 따른 변화... -
Read More
물결파는 횡파인가?
물결파는 횡파인가? 고등학교 참고서에서 물결파를 횡파로 기술한 것을 본 적이 있습니다. 하지만, 물결파는 횡파가 아닙니다. 먼저 횡파를 살펴 보겠습니다. 다음은 횡파의 진행과 매질의 운동을 보여주는 애니메이션입니다. 매질이 진행 방향에 수직한 방향으로만 진동하고 있습니다. 영상 출처: http://www.wikipedia.com/ 다음은 수면에서 발생한 물결파의 모습입니다. 영상 출처: http://www.wikipedia.com/ 물결파는 횡파가 아닙니다. 그렇다고 해서 종파도 아니구요. 물결파는 진행 방향에 대해 수직한 방향과 나란한 방향으로의 운... -
Read More
횡파인 S파가 액체와 기체를 통과하지 못하는 까닭
횡파인 S파가 액체와 기체를 통과하지 못하는 까닭 젓가락의 양쪽 끄트머리를 고정시킨 채 적당한 크기의 힘(외력)을 가하여 가운데 부분을 젓가락과 수직한 방향으로 변형시킨다고 해보겠습니다. 가해진 외력의 결과로 젓가락은 활처럼 휘겠지요. 외력을 제거하면 젓가락은 원래의 모습으로 복원됩니다. 복원된 부분은 복원되는 데서 그치지 않고 젓가락의 길이 방향을 따라 자신의 변형을 전달합니다. 그 결과로 인접한 지점이 젓가락 길이 방향에 수직하게 변형됩니다. 두번째 변형지점 역시 복원되면서 인접한 부분을 다시 변형시킵니... -
Read More
암석의 세 부류
암석의 세 부류 지구상에 존재하는 암석들의 성분이나 구조 등의 특징의 차이는 화성암, 퇴적암, 변성암의 세 부류로 명확하게 구분할 수 있는 것이 아닙니다. 퇴적암보다 좀 더 큰 압력을 받아 형성된 것이 변성암이지만, 압력이 가해진 정도에 따라 매우 다양한 암석들이 존재합니다. 열이 가해져 만들어진 변성암과 화성암도 마찬가지로 어느 정도의 열이 가해졌는지에 따라 매우 다양한 암석이 있으며, 변성암과 화성암 사이에 명확한 구분을 짓기는 어렵습니다. 뚜렷한 특징들을 모아서 암석을 구분한다 하더라도, 이러하 암석들이 서... -
Read More
부분일식 영상 - 풍선/디스켓/탐색경 이용
2007년 3월 19일 부분일식 관측 플로피 디스크 자켓을 벗기면 자성체가 입혀진 폴리에스터 필름이 있습니다. 다음 영상들은 이것을 통해 태양을 관찰하면서 촬영한 것입니다. (*** 주의: 플로피디스크의 폴리에스터 필름을 통해 눈으로 태양을 관찰하는 것은 매우 위험합니다. 여기에선 단지 촬영의 목적으로만 사용하였습니다. 안전한 태양관측을 위해 주의해야 할 사항에 대해서는 여기를 참고하세요.) 다음은 흰색 풍선을 통해 관찰하면서 촬영한 영상입니다. 학생이 풍선을 들고 서 있습니다. (*** 주의: 풍선을 통해 눈으로 태양을 관... -
Read More
부분일식 영상, 2007년 3월 19일, LX200R 이용
부분일식, 2007년 3월 19일, 11시 32분 23초 Meade LX200R UHTC 8", D=200mm, f/10, 직초점 Canon EOS 350D, ISO 100, 1/640s 영상 처리 : 밝기 조정, 선예도 강화, 촬상면 먼지 제거 오늘(3월 19일) 오전에 있었던 부분일식 촬영 영상입니다. 다음은 일식의 시작부터 끝까지 시간 순서로 나타낸 것입니다. Meade LX200R UHTC 8" 망원경에 Canon EOS 350D 사진기를 직초점으로 연결하여 사용하였습니다. 영상의 왼쪽 위에 촬영 시각이 있습니다. 탐색경을 통한 촬영 탐색경 태양 필터로는 플로피 디스크의 폴리에스터 필름 자성체를 사용했... -
Read More
Canon EOS 벌브 노출 제어 케이블 제작
Canon EOS 벌브 노출 제어 케이블을 제작해 보았습니다. 벌브(bulb) 노출이란 '셔터를 누르는 동안의 노출'을 의미합니다. 30초 이상의 노출을 포함하여 셔터를 누르고 있는 '임의의' 시간 동안 노출을 주는 것이죠. 대부분의 DSLR에서 이 기능이 지원되지만, 시간 간격은 순전히 수동으로만 조정할 수 있으며, 미리 설정한 시간 동안 노출을 주도록 타이밍할 수 있는 DSLR 모델은 많지 않습니다. 우리가 많이 사용하는 300D나 350D도 마찬가지입니다. 하지만, 그것이 아예 불가능한 것은 아닙니다. 케이블 릴리즈를 끼우는 잭(소켓)에 특... -
Read MoreNo Image
극축 조정법 - 다카하시 EM-2, EM-200, EM-500 적도의
Takahashi 적도의의 극축 조정법입니다 . 다음은 다카하시 EM-200 적도의 드라이브입니다. 1) 먼저 적경축에 있는 경도 설정 고리에서 관측 지점의 경도를 설정합니다. 2) 나사를 조여 경도 설정 고리를 고정합니다. 3) 적경축의 클램프를 풀어 회전이 가능하도록 합니다. 4) 경도 설정 고리의 공기 방울이 중앙의 두 선 사이에 오도록 적경축을 회전시킵니다. 5) 적경축 클램프를 조여서 고정합니다. 6) 극축망원경의 접안 렌즈를 통해 들여다 보면 날짜 눈금과 시간 눈금이 있습니다. 극축망원경의 접안 렌즈를 회전시키면 이 눈금도 회... -
Read More
풍향의 정의
풍향은 구름이 어디에서 불어오느냐에 따라 결정합니다. 북쪽에서 남쪽으로 분다면 북풍, 남서쪽에서 북동쪽으로 분다면 남서풍입니다. 다음 플래시 동영상은 몇 가지 풍향 사례를 보여줍니다. 푸른행성의 과학, http://www.skyobserver.net/ -
Read More
일기도 기호
고등학교 과학에서 알아야 할 일기도 기호를 도표로 정리하였습니다. 도표 아래에는 일기 기호의 사용 예를 플래시로 나타내었습니다. *** 수정 사항: 아래 그림에서 구름의 양을 나타내는 부분을 수정해야 합니다. 구름의 양은 8단계로 나타냅니다. 아래 그림에서 "흐림"은 "구름 양 8/8", "갬"은 "구름 양 4/8"로 바꿔주세요. 푸른행성의 과학, http://www.skyobserver.net/ -
Read More
발산 경계와 수렴 경계에서의 화산 활동 양상
발산 경계에서는 맨틀의 대류로 인해 상승해 올라온 물질이 분출하고, 그 지점을 경계로 판이 갈라져서 서로 반대 방향으로 이동합니다. 발산 경계에서는 맨틀의 물질이 상승해 올라오다가 발산 경계의 바로 아래에서 "압력의 감소로 인해" 용융되어 마그마를 형성하고, 그것이 분출하여 화산 활동이 일어납니다. 수렴 경계에서는 서로 다른 판이 만나서 하나의 판이 다른 판 아래로 말려들어가거나(이것을 섭입이라고 합니다) 충돌하면서 지각변동이 일어나게 됩니다. 수렴 경계에서는 두개의 판이 부딪히면서 아주 강한 압력이 작용하고 ... -
Read MoreNo Image
코로나가 매우 뜨거운 까닭은?
태양의 광구에 비해 태양의 코로나는 무척 뜨겁습니다. 온도가 100만 K를 넘으니까요. 그런데, 에너지는 태양의 내부에서 생성되고, 에너지는 고온의 지역에서 저온의 지역으로 흐른다는 걸 생각해보면, 이건 참 이상한 일입니다. 에너지 생성 지역에 보다 더 가까운 광구에 비해 태양의 코로나가 더 온도가 높다는 사실, 그리고 에너지는 고온의 지역에서 저온의 지역으로 이동하는데 반해, 태양의 에너지는 저온의 광구에서 고온의 코로나로 이동하니까요. 이에 대해서는 태양을 연구하는 천문학자들이 아직까지 결론을 내리지 못하고 있... -
Read MoreNo Image
달의 위상 명칭
현재 널리 사용되는 달의 위상 명칭은 다음과 같습니다. 합삭 (new moon) - 천문학용어집은 new moon을 '신월'로 표기하고 있으나, 한국천문연구원은 '합삭'으로 표기합니다. 초승 (waxing crescent) 상현 (first quarter) 보름 또는 망 (full moon) 하현 (last quarter) 그믐 (waning crescent) 반달과 보름달 사이의 달은 '현망간의 달'(천문학용어집)이라고 합니다. 천문학용어집에서는 상현달과 보름달 또는 하현달과 보름달 사이의 달에 대한 명칭을 명시적으로 나타내지는 않았지만, '현망간의 달'과 같은 표현을 확장하면, 다음과 ... -
Read More
온대저기압의 발달 및 소멸 과정
온대저기압의 발달 및 소멸 과정입니다. 지금 사용하시는 웹브라우저는 video 태그를 지원하지 않습니다. 최신의 브라우저를 이용해주세요. 기본 영상의 출처는 http://www.physicalgeography.net/입니다. 이 싸이트의 퀵타임 동영상에서 영상을 추출하고 몇 가지 처리를 한 뒤 플래시로 만들었습니다. 온대지방에서는 극 지방의 찬 기단와 열대 지방의 따뜻한 기단이 자주 접하면서 항상 약한 정체 전선을 형성하고 있다(1 단계). 따뜻한 기단과 찬 기단 사이의 온도 차이가 심해지면 정체 전선에 교란이 발생하여 구불거리기 시작하며, ...
